關于地磅非砝碼(采用電磁力)檢定方法探討
本文旨在利用現代的電子技術和傳感技術研究一種地磅的快速檢定 方法,以解決現實中砝碼檢定不能滿量程檢定、效率低下以及費用高的問題。
1.衡器檢定方法現狀及本檢定裝置的意義
國內外技術水平現狀:當前國內外衡器檢定 所使用的方法均采用砝碼(比較先進的標準器為 檢衡車做標準器,此標準器在實際使用中存在 幾點不足。
1.1現實中很難達到檢定規程的要求
依據現行衡器檢定規程,檢定一臺衡器一般 需要滿量程一半的標準砝碼,即檢定100t地中衡 需要砝碼50t,而各地縣級計量測試機構所配備的 砝碼一般在5t左右,不用替代法,只能檢定滿量 程的1/20,嚴重違反檢定規程;隨著經濟的發展, 80t、100t大型衡器日益增多,此問題急需解決。
1.2現行檢定方法效率低下
以現行方法檢定大型衡器,即使在上述違反 檢定規程的情況下,一天最多檢定兩臺大型衡器。 隨著經濟的快速發展,大型衡器用戶猛增,為此 必須尋找一種替代現行檢定手段。
1.3檢定費用高
現行檢定方法需人力搬倒或需起重設備,大 型衡器用戶在檢定時需投入大量人力、物力和才 力。
1.4本檢定裝置的意義
可替代現行衡器檢定采用的砝碼域檢衡 車,解決現行檢定方法存在的實際問題,開創衡 器檢定新方法。
2.基本原理
以加力裝置對地磅檢定儀(以下簡稱 “檢定儀”傳感器和被檢定衡器傳感器同時進行 串聯加力,傳感器輸出信號分別進入檢定儀稱重 顯示器和被檢定衡器稱重顯示器,比較檢定儀和 被檢定衡器示值以確定被檢定衡器的誤差。
3.檢定儀的結構
此結構適用于地磅臺面為非鐵磁性物 質制造的地磅,地磅非砝碼檢定原 理如圖1所示。

具體結構:系統由高精度拉式稱重傳感器、 高精度稱重顯示儀表、阻力梁、力架、電磁鐵、 穩流電源組成。改變穩流電源的電流大小以改變 磁力大小,電磁鐵產生的力同時加在了標準傳感 器和地磅傳感器上,兩個系統的傳感器產 生的信號分別進入檢定儀顯示儀表和電子汽車衡 顯示儀表,比較地磅顯示儀表的示值與檢 定儀顯示儀表的示值,其示值的差值即為地磅的誤差。
滾動車可以在臺面上自由移動,當上、下電 磁鐵不正對時,上電磁鐵受到水平分力,在此分 力的作用下,滾動車自動移動直至不存在水平分 力。標準傳感器與力架采取萬向軸連接,以便消除標準傳感器受到的水平分力和力距作用。
導磁材料用于使上下兩個電磁鐵產生的磁場 磁力線構成磁力線回路使磁力線不泄露,以降低 稱重傳感器的輸出信號受磁場的干擾程度。導磁 材料采取柔性連接,防止滾動車自由活動受到限 制。
標準傳感器使用磁場屏蔽材料予以屏蔽,以 減少稱重傳感器的輸出信號受磁場的干擾。
滾動車下面墊板,使板的坡度小于1/500,以 便于滾動車可以自由移動。
4.系統的研制及技術指標
目標:檢定儀達到能夠檢定III級衡器的要求。
(1)加力系統由4-8套相同加力裝置組成, 單個加力系統承受196kN的力。
(2)稱重傳感器:非線性0.01%、蠕變0.01%、 滯后0.01%、重復性0.01%、溫度對靈敏度的影響 0.01%/10K、穩定性0.01%/年。量程為20t的數字 傳感器。采用數字儀表,通過修正使每個傳感器 的線性達到0.002%,滯后0.002%。
(3)單個加力系統需提供196kN壓力。
(4)力架的設計:要求承受196kN壓力。
(5)阻力梁:能承受足夠的拉力和彎矩。
(6)確保所加壓力鉛直的設計:下電磁鐵的 軸心與鉛垂線夾角小于0.2度。
(7)標準稱重顯示器內部設置力--質量轉換 功能,根據當地緯度和海拔計算當地重力加速度。
(8)為減小傳感器、力架的蠕變誤差,在檢 定時,統一規定加壓時間為10分鐘,在標定檢 定系統時也規定加壓時間為10分鐘,這樣由于蠕 變產生的相對誤差減小到± 5X 10-5。
(9)為減小溫度對靈敏度的影響,標準裝置 在標定時按溫度段進行標定,從-10℃至+30℃每 20蚓為一段進行標定以適應于-10℃至+40℃的 使用環境。對每個傳感器的溫度特性進行檢驗, 繪制溫度特性曲線以便對傳感器進行溫度修正, 采用數字儀表使傳感器的溫度對靈敏度的影響減 小到 0.002%/10K。
(10)穩流電源:精度十萬分之一。
5.不確定度分析
以30噸秤,稱量在8噸時為例計算。
5.1使用檢定儀檢定衡器的不確定度分析
5.1.1測量方法
用檢定儀的量值作為標準值進行檢定。其示 值誤差是被檢定衡器的示值與標準值進行比較, 按公式進行計算。
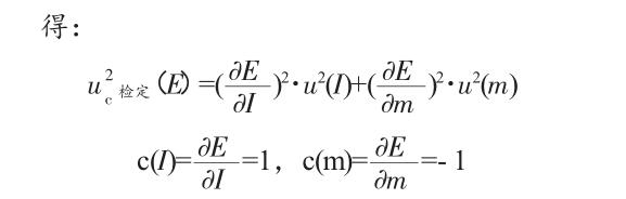
5.1.2數學模型
地磅的示值誤差 E=I- m
式中:E-地磅的示值誤差,kg
I—地磅的顯示值某一檢定點,kg
M- 檢定儀的示值,kg
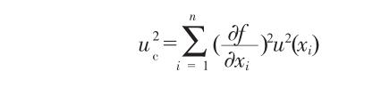
5.1.3 方差和靈敏度系數 依方程







6.結論
本地磅的總不確定度為8.46kg,其在 使用中的最大允許誤差值為30kg, 6.40kg< (1/3x 30 kg,符合檢定系統要求。
7.效率分析
以檢定60噸地磅,檢定機構距地磅安裝地點 10公里為例進行計算如表2。

由計算可知:檢定儀用時2.67小時,砝碼用時13.8小時,檢衡車用時7.3小時;相對砝碼, 使用檢定儀可提高效率4倍,相對檢衡車,可提 高效率1.7倍。
8.待討論的問題
本檢定系統是否適用于鐵磁性材料制造的地磅? 因為本系統上下電磁鐵采用了導磁結構,其 磁力線絕大部分集中在上下兩個電磁鐵之間的空 間,剩余部分磁力線大部分也穿過了秤體闥為 上電磁鐵離秤面很接近,故所有磁力線幾乎全部 穿過秤體。所以秤體受上下兩個磁鐵的力相互抵 消,秤體不受磁場力的作用,所以本系統應該可 以適用于鐵磁性材料制造的地磅。

