無坑基地磅的稱重平臺設計小析
無坑基地磅具有技術穩定、投資省等優點,是目前國內應用較為廣泛的工業用電子 衡器,本文以3*廢鋼秤為例對無坑基地磅在設計和應用中的技術難點,秤體受載時發生過大撓 度而影響使用精度及保證穩定性的問題進行總結和分析,對設計和安裝過程中如何選擇載荷點與 支座間的距離、秤體大梁材質選用等關鍵技術問題進行了分析。
1.引言
地磅是梅山公司大宗物料進出廠的主 要計量手段。梅山原有12臺20?120 t的深 坑式地磅,在使用中,發現深坑式地磅雖 有檢修比較方便、稱重臺面不易被垃圾卡住、 稱重傳感器不易受潮及稱重臺面和道路可以 設計成沒有高度差等優點,但存在技術落后、 占地面積大、投資費用高等問題。為此逐步對 舊秤進行更新改造為無坑基地磅。新式無 坑基地磅與深坑式地磅相比具有設計、 施工、造價低及安裝、檢修方便等特點。其最 大優點在于對鋼結構秤臺從機械受力結構進 行優化設計,這樣既確保了其秤臺的剛度和 強度,又降低了秤臺受力梁的有效髙度,使無 坑基地磅的綜合性能更趨合理。由于綜合 髙度降低可縮短引坡節約投資,減少占地面 積,可大大減少土建費用。現將梅山3號30 t 地磅為例介紹如下。
2.無坑基地磅的結構和設計
2.1電子平臺秤結構
任何一臺電子平臺秤,均由土建基礎、機 械結構、稱重傳感器和稱重顯示儀表四部分 組成。在冶金企業內,電子汽車秤和電子鋼材 秤是較為典型的兩種電子平臺秤。其中地磅根據其基礎形式的不同,可分為深坑 式、淺坑基和無坑基電子秤三種。電子平臺秤 的機械結構一般包括稱重臺面、承載傳力裝 置、限位裝置三部分。稱重臺面主要用來承受 載荷,并且通過承載傳力裝置把載荷重量傳 遞給稱重傳感器,它應有足夠的剛度和強度 (下面詳細介紹)。承載傳力裝置主要把載荷 準確地傳遞給稱重傳感器,正確、合理設計承 載傳力裝置,可以充分發揮稱重傳感器的精 度,對于不同類型的稱重傳感器,對承載傳力 裝置結構和要求也不同,下面就稱重平臺的 設計做一介紹。
2.2地磅稱重平臺設計
地磅通常有四只傳感器支承著稱重平 臺(如果是雙平臺則由六只傳感器支承)。由 于傳感器對其受載荷的方向有著很高的要 求,所以對其傳力機構即稱重平臺有著較高 的要求,不僅要求其有足夠的強度,而且要有 足夠的剛度,這樣才可以減小稱重臺面在稱 重傳感器支承點上產生的轉角。因為此轉角 將造成載荷作用點位置的偏離和作用力方向 的改變,從而使稱重傳感器受到一個附加的 力矩和水平分力,這將影響稱重傳感器的工 作特性及計量準確度。為了確保稱重量平臺 在受載時不發生過大的撓度,根據電子平臺 秤的實際應用,其剛度要求在最大載荷下產 生的撓度應小于稱重臺面兩承重支點間距離的 1/1 000,即

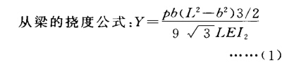
可以看出,在載荷一定的條件下,撓度y與四 個參數有關,即材料的彈性模量£,梁支座跨 度人,梁的慣性矩/,載荷點與支座間的距離6。
從C1)式可以看出,彈性模量E越大Y越 小;支座跨度即傳感器兩支承點間的距離入 越小則y越小;梁的慣性矩越大則Y越小,載 荷點與傳感器間的距離6越小則y越小。彈 性模量£取決于材料,彈性大的材料制作平 臺,雖可降低撓度,但無疑會提高工程造價, 而且優質鋼材的彈性模量與普通鋼材的彈性 模量相差不大,因此采用提高彈性模量來降 低撓度是無意義的。

本文主要討論通過減小載荷點#支座間 的距離來實現無坑基電子秤,減小載荷點與 支座間的距離6,可有效地減小梁的撓度y。
從地磅的受力分析可知,引起梁撓度 的載荷有兩個:(1)梁本身的自重C為均勻分 布載荷);(2)被稱重物的重量(為集中分布的 載荷),通過對梁的受力分析可以看出,造成 撓度的主要因素是集中載荷即被稱重物的重 量。集中載荷產生的撓度方程:

9 -/Tlei2 從(2 )式可看出,減小載荷點到支座間的 距離b可以有效地減小撓度Y。當6—0時,則 ^ax^0o此時梁僅有自重產生的撓度,因此 只需考慮梁的強度要求,從而可以設計成低 外形大梁,實現無坑基地磅。
如何實現載荷點與支點重合(6—0).可 利用雙層梁的方案實現這一條件。其設計方 案是:在主梁下方設置一附梁(見圖1),主梁 支座即主梁與附梁間的連接點與傳感器軸線 重合,對于附梁而言,載荷點與支點重合即6 —0,附梁僅承受自重,其撓度可以大大滿足 電子秤的剛性要求,使用普通型材加工即可 滿足。主梁因不與傳感器直接接觸.不用考慮 其剛性要求。設計時只需考慮其強a耍求。

下面根據上述理論設計一臺30 t地磅 (以f廢鋼秤為例)。其中平臺面積為3 m',載荷h按130 %超載系數和1. 1倍的動 載荷系數。設計作為汽車秤使用。計算中前 后輪載荷按1 : 2分配。設計按圖2所示。其 中人=10 000 mm ,b= 1 000 mm,其最大彎距 從_在1/2人處。計算如下:
最大載荷:尸2 = ^X1. 3X1. 1 = 42 900
kg;
主梁斷面:/?>;/■/ = 0. 6 X 0. 42 = 0. 252
m2;
b X h = 0. 58 X 0. 392 = 0. 227 m2 ;
主梁自重:W = 3 OUU kg;
主梁慣性矩:/:,=(B//3—敁3)/12 =79 298 cm!;
抗彎斷面模量:S= (/?/-廠一6/r’)/12 = 2 786
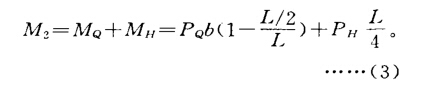
因主梁B較大,不考慮左右偏載問題。 前輪載荷:匕=1/2/3乂尸」:
后輪載荷:Ph = 1/2X2/3X/^;

代入已知數M2 = 385 649. 5 N ? m,
主梁的自重彎距(1/2 L t±):M,v=l/8WL0 代入已知數Mu =40452, 4 N ? m, 則最大彎距:財max = M?+My = 426 098. 9 N ? m
主梁人/2處最大法向應力:amax = Mmax/S =152. 95 N/mm2
根據以上計算可以看出,使用一般的八3 鋼材即可滿足要求。另外根據撓度公式可求 出人/2處最大撓度:
max == ^qYy = 2- 43 cm0 驗算在最大載荷下,主梁支座間距因梁
Q
燒度縮短為:廠= 2jOsin — = 999. 973 cm。
即主梁支座間距僅縮短了 0. 027 cm,附 梁載荷點仍可近視與支點重合,只受均勻分 布載荷,撓度仍可滿足000要求。
從以上設計看出,一臺30 t地磅,其主 梁高度僅為42 cm,至于附梁可按圖1所示安 裝在主梁下,即可實現無坑基地磅。
3.結語
無坑基電子秤目前已在梅山得到了廣泛地應用,3#,4#8#9#10#地磅及1#,2#取樣秤都是無坑基地磅。無坑基地磅在 梅山應用的近10年中,經多個周期的檢定都 能達到三級貿易結算用秤的準確度,使用穩 定并保持原有精度,為梅山公司大宗物料進 出廠計量的準確性提供了可靠的保證。因為 用于貿易結算的電子秤精度的提高,直接影 響著公司的產品計量的準確性,以贏得更多 客戶的信賴,維護公司在社會上的信譽。同 時,也大大地降低了投資和維修費用,降低了 生產成本。

