基于預應力處理法地磅秤體剛度研究
地磅秤體撓度過大是引起其測量誤差的主要原因。將鋼結構預應力處理法運用于秤臺與U型梁的焊接工 藝過程,建立秤體撓度和應力隨著預加載荷變化的數學模型,基于有限元法實現秤體預應力處理過程。結果表明:秤體 撓度的模擬結果與數學模型的變化規律一致。因此,鋼結構預應力處理法的應用能有效提高秤體剛度,進而提高地磅 的測量準確度。
地磅的稱量精度和長期使用穩定性指標要求對其進行定期檢定。秤體的剛度是影響地磅性能指標的主要影響因素。目前,隨著地磅非砝碼檢定方法的提出,尋求一種有效提高秤體剛度的方法愈加迫切^。諸多學者對秤體剛度進行了研究。其中,王禎 榮等在設計地磅過程中將秤臺簡化為一簡支梁進行 強度和剛度的理論計算。但劉梅等認為這種傳統 的剛度分析結果可靠性較差且無法進行局部應力及應 變分析。針對此缺陷,他們通過建立地磅秤臺實體 模型對剛度進行校核分析,并給出合理的改進建 議。文獻均以地磅秤臺的重量為目標函 數,以撓度為約束進行優化,以此獲得秤臺最佳結構尺 寸。由此可知,目前秤體的剛度通常是通過現有結構 的優化來改進,而從制造工藝進行改進尚未發現相關 文獻涉及。
本文將鋼結構的預應力處理法運用于提高秤 體結構(秤臺與U型梁)的剛度。根據秤臺與U型梁 焊接過程的預應力處理工藝流程,建立預應力處理過 程的力學模型,并通過數值模擬驗證模型的可靠性。
1.秤體結構預應力處理的力學模型
1.1秤體結構預應力處理工藝
地磅秤體結構的形成引入了預應力技術M,秤 體結構建立預應力的工藝處理過程如圖1所示。首 先,將秤臺按照規定位置放置于工作平臺上。在工作 平臺上等距固定直徑不等且其外輪廓線沿縱向成拋物 線分布的鋼筋,在完成秤臺放置后,將六根u型梁按 照規定位置反扣在秤臺上。然后,通過加載裝置(液 壓系統)在u型梁中部施加一定的載荷,使u型梁和 秤臺同時向下預彎曲,并通過點焊將u型梁與秤臺固 定一起。該組合結構完成點焊后,撤去加載裝置,轉移 工作平臺并完成滿焊。秤體預應力處理工藝模型簡圖 如圖2所示。


1.2組合結構預應力處理的強度分析
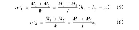
由秤臺和u型梁組成的預應力組合結構在施加 預應力和加載階段的局部截面預應力分布如圖3所 示。圖3a為組合結構的截面尺寸參數;圖3b為組合 結構在預彎曲時各自截面上的預應力分布(秤臺上緣受拉應力q作用,下緣受壓應力%作用;u型梁上緣 受拉應力A作用,下緣受壓應力^4作用)。

式中,M1為秤臺預彎曲彎矩;M2為U型梁預彎曲彎 矩;11為秤臺截面慣性矩;h為U型梁截面慣性矩;h, h分別為秤臺的厚度和U型梁的高度;Z1為秤臺截面 上緣離開中性軸的距離;Z2為U型梁截面下緣離開中 性軸的距離;f為U型鋼與秤臺的組合梁在預應力彎 曲處理時的許可應力。
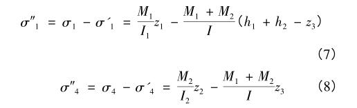
在預彎曲狀態下沿秤臺和U型梁相鄰的邊緣焊 牢。然后卸去預彎曲載荷,即卸載相當于在組合結構 上加相反的彎矩(M1 + M2)。因此,在組合結構截面上 由于卸載回彈引起的應力分布如圖3c所示,上下邊緣 的應力計算公式如下

式中,w和i分別為組合結構截面的抗彎截面系數和 慣性矩。
卸去外載荷后組合結構中預應力值等于預彎曲階 段和卸載階段的應力之和,其分布如圖3d所示。由于 秤臺和U型梁組合之后,整個組合結構橫截面的形心 軸將處在秤臺形心軸與U型梁形心軸之間。因此焊 接后并釋放預加載荷,秤臺和U型梁邊緣上的預應力值將發生改變,即秤臺上緣應力值和U型梁下緣的應 力值均有所減小,計算公式如下:

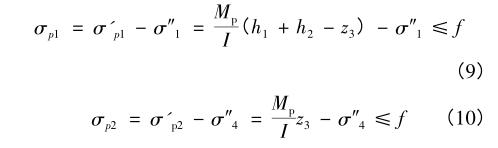
如不考慮預應力,U型梁與秤臺的組合結構在外 載荷作用下,其上、下緣應力分別為和〈2,應力 分布如圖3e所示。如考慮預應力的影響,則在外載荷 作用下組合梁的應力分布如圖3f所示。其上、下緣的 應力計算公式為

式中,Mp為外載荷作用下組合結構橫截面的彎矩。
1.3組合結構預應力處理的剛度分析
在載荷作用下,對組合結構進行剛度分析。假設 在預應力狀態下,U型梁和秤臺組合結構中的預應力 引起的作用效果相當于一個外加彎矩Me施加在組合 結構上,且在外載荷作用下Me不變。彎矩作用在組 合結構形心軸上,組合結構在預應力狀態下的平衡微 分方程為

由上述推導可知,預應力組合結構在外載荷作用 下,其撓度大小和Me密切相關。Me越大,則預應力組 合結構的撓度y越小,即預應力越大,組合結構的撓度 y越小。
2.預應力組合結構的有限元模型
為深入研究預應力對汽車衡秤體剛度和承載力的 影響,建立秤臺和U型鋼組合結構的有限元模型。同時,為模擬圖4的預應力處理過程,在秤臺上建立兩根 鋼筋,如圖4所示。
圖4顯示的坐標,X表示秤體的縱向;Z表示秤體 的橫向;Y表示組合梁的垂直方向。組合梁結構預應 力處理的四個階段分析如下:
(1)在預彎曲階段,鋼筋全約束固定;限制秤臺和 U型梁的X向和Z向剛體位移。
(2))預應力處理過程中,秤臺和U型梁的橫向軸 線節點在X向上不發生移動,組合結構的Z向也不發 生剛體位移;施加在每根U型梁底面中間區域的預彎 曲載荷為9xW4N。
(3)在回彈階段,限制U型梁端部節點的Y向位 移。為模擬U型梁和秤臺的焊接過程,將U型梁和秤 臺之間的接觸改用MPC方法綁定;刪除鋼筋與秤臺的 接觸,并刪除鋼筋單元。同時,在更新模型之前,需保 存預彎曲變形后組合結構內部的應力結果,以便在完 成模型更新后恢復模型內部的應力。
(4)在施加外載荷階段,組合結構邊界條件仍保 持與回彈狀態時一致。根據GB/T 7723-2008《固定式 電子衡器》,選取秤臺中間部分3 mx3 m區域均布50 t砝碼,使具有預應力的組合結構進入加載狀態,如圖 5所示。

3.模擬結果及討論
3.1組合結構預應力處理過程
組合結構整體變形量以U型梁為基準。圖6a、圖 6b、圖6c分別為組合結構在施加預彎曲載荷階段、卸 載回彈后及施加外載階段組合結構U型梁的Y向位 移云圖。
圖6a為秤體預彎曲階段反拱時U型梁Y向位移 云圖。圖中顯示反拱的最大Y向位移值發生在U型 梁的中間部位,約為W.2 mm。預應力處理的后三個 階段位移均以預彎曲階段的位移為基準。圖6b為秤 體撤掉預彎曲載荷后U型梁Y向位移云圖分布。回 彈的最大Y向位移發生在U型梁的中間位置,約為- 5. 2 mm。圖6c為秤體預應力處理后均布50 t砝碼檢 定區域對應的u型梁r向位移云圖。最大r向位移 值發生在U型梁的中間部位,約為-9 mm。


圖7為無預應力狀態下秤體在50 t外載荷作用下 U型梁Y方向的位移云圖。圖中顯示,無預應力秤體 Y向位移最大值發生在U型梁中部,約為-6. 9 mm。
3. 2秤體結構的位移變化規律
為深入研究預應力處理對剛度的影響規律,選取 秤體中部六個U型梁橫截面中性軸中點對應的節點 作為研究對象,如圖8所示。

圖 中顯示,施加預彎曲載荷后,U型梁的Y向位移分布較 為均勻,其值約為M.2 mm;秤體回彈后,U型梁的Y 向位移分布仍保持較為均勻,回彈量約為5.2 mm;秤 體預應力處理后施加外載,U型梁仍處于反拱狀態,其 Y向位移分布呈拋物線形狀。U型梁Y向最小位移值 約為6.5 mm,最大值是兩端節點約為8.7 mm;在無預 應力處理下施加外載,U型梁的Y向位移分布較為均勻,最大位移值為-7. 6

從圖9可知,秤體經過預應力處理后,在外載作用 下仍處于反拱狀態,Y向平均變形撓度為6. 5 mm;無 預應力處理時,在外載作用下處于向下彎曲狀態,Y向 平均變形撓度為7.6 mm。說明預應力處理方法對于 提高秤體剛度有顯著效果。實際生產過程,為了達到 最佳效果,只需尋找最佳的預應力處理載荷即可實現。
4.結論
本文將鋼結構預應力處理法引入地磅秤臺與U 型梁焊接工藝上,建立了應力和撓度變化規律的數學 模型,并通過數值模擬實現了秤體結構的預應力處理 過程。秤體結構撓度的數學模型與數值模擬結果變化 規律一致,表明鋼結構的預應力處理法是一種提高秤 體剛度的有效方法。

